Beranda
/ Integral Parsial Trigonometri - Pdf Pertemuan 12 Pokok Pembahasan Teknik Pengintegralan Muhammad Idris Academia Edu - Hal tersebut karena, integral merupakan bentuk dari antiturunan.
Integral Parsial Trigonometri - Pdf Pertemuan 12 Pokok Pembahasan Teknik Pengintegralan Muhammad Idris Academia Edu - Hal tersebut karena, integral merupakan bentuk dari antiturunan.
Integral Parsial Trigonometri - Pdf Pertemuan 12 Pokok Pembahasan Teknik Pengintegralan Muhammad Idris Academia Edu - Hal tersebut karena, integral merupakan bentuk dari antiturunan.. Ternyata, fungsi trigonometri juga bisa diintegralkan, lho. Jika hasil integral diatas disubstitusi dengan permisalan y, diperoleh: Atau jika fungsi yang diturunkan adalah fungsi trigonometrinya langsung, maka sebagai contoh , mendapat integralnya dengan memisalkan: See full list on studiobelajar.com 8.1 bentuk tak tentu 0/0.
2.3 teknik mengerjakan soal integral. Cara ini didasari oleh aturan hasil kali turunan dari dua buah fungsi. Pada teknik ini, bentuk fungsi f(x) dapat diubah menjadi bentuk. Pengoperasian juga sama dengan fungsi aljabar. More images for integral parsial trigonometri »
Integral Parsial Cara Cepat Cara Golden from learnwithalice.files.wordpress.com Bentuk baku integral trigonometri selain rumus dasar integral di atas dalam mengintegralkan fungsi trigonometri juga digunakan identitas trigonometri. Pada teknik ini, bentuk fungsi f(x) dapat diubah menjadi bentuk. Hal itu karena integral merupakan bentuk antiturunan. Berdasarkan permisalan ini, maka persamaan integralnya menjadi: Fungsi trigonometrisebagai integran, untuk beberapa kasus, tidak bisa langsung diintegralkan seperti rumus integral awal. See full list on studiobelajar.com Hal tersebut karena, integral merupakan bentuk dari antiturunan. Apr 24, 2017 · integral trigonometri hai kali ini kita akan membahas mengenai integral trigonometri.
Jika hasil integral diatas disubstitusi dengan permisalan y, diperoleh:
Pengoperasian juga sama dengan fungsi aljabar. Rumus integral berikut berisi kumpulan rumus integral parsial, substitusi, tak tentu, dan trigonometri akan kita pelajari bersama pada pembahasan di bawah ini. Berdasarkan permisalan ini, maka persamaan integralnya menjadi: Kamu akan lebih mudah memahami integral trigonometri jika sebelumnya pernah belajar tentang turunan trigonometri. Pada integral tertentu yang memiliki nilai pada interval tertentu, maka interval tersebut harus disubstitusi ke dalam interval baru untuk variabel u. Fungsi trigonometrisebagai integran, untuk beberapa kasus, tidak bisa langsung diintegralkan seperti rumus integral awal. Jul 06, 2021 · 3. See full list on studiobelajar.com See full list on studiobelajar.com Hal itu karena integral merupakan bentuk antiturunan. Apr 24, 2017 · integral trigonometri hai kali ini kita akan membahas mengenai integral trigonometri. Contoh diatas merupakan teknik substitusi pada integral tak tentu. Sehingga perlu juga dilakukan perubahan integran.
Pengoperasian juga sama dengan fungsi aljabar. Sebagai contoh, contoh jika , untuk mendapat integralnya dengan memisalkan: Rumus integral berikut berisi kumpulan rumus integral parsial, substitusi, tak tentu, dan trigonometri akan kita pelajari bersama pada pembahasan di bawah ini. Sep 28, 2020 · integral parsial pada fungsi trigonometri. Integral merupakan bentuk pada operasi matematika yang menjadi kebalikan atau disebut invers dari operasi turunan dan limit dari jumlah ataupun suatu luas daerah.
Rumus Rumus Integral Integral Dengan Substitusi Trigonometri Bentuk A2 X2 Dengan Substitusi X Pdf Document from demo.fdokumen.com Hal itu karena integral merupakan bentuk antiturunan. Pada teknik ini, dapat dimisalkan dan selanjutnya menyelesaikan integral dalam fungsi f(y) menggunakan teknik substitusi seperti di awal. Jika hasil integral diatas disubstitusi dengan per. Sama hal dengan fungsi aljabar, fungsi trigonometri dapat menggunakan teknik substitusi ini jika integran terdiri dari perkalian sebuah fungsi dengan fungsi turunannya sendiri. Berdasarkan permisalan ini, maka persamaan integralnya menjadi : More images for integral parsial trigonometri » Sobat akan lebih mudah memahami integral trigonometri, jika sebelumnya telah belajar mengenai turunan trigonometri. Sehingga perlu juga dilakukan perubahan integran.
Suatu fungsi trigonometri juga dapat diintegralkan.
Hal tersebut karena, integral merupakan bentuk dari antiturunan. Sehingga perlu juga dilakukan perubahan integran. 8.2 bentuk tak tentu lain. Jika hasil integral diatas disubstitusi dengan per. See full list on studiobelajar.com Ternyata, fungsi trigonometri juga bisa diintegralkan, lho. Jika maka, integral ini dapat diselesaikan dengan memisalkan u = g(x) dan sehingga diperoleh persamaan: Pada teknik ini, dapat dimisalkan dan selanjutnya menyelesaikan integral dalam fungsi f(y) menggunakan teknik substitusi seperti di awal. Substitusi trigonometri | pendidikan matematika &mldr. See full list on studiobelajar.com Contoh soal integral parsial contoh soal integral parsial kuliah | kumpulan soal pelajaran 2 contoh soal integral trigonometri parsial | kumpulan soal pelajaran 6 contoh soal integral tentu, tak tentu, substitusi, parsial contoh soal integral trigonometri parsial | kumpulan soal pelajaran 6 teknik integral: Integral merupakan bentuk pada operasi matematika yang menjadi kebalikan atau disebut invers dari operasi turunan dan limit dari jumlah ataupun suatu luas daerah. See full list on studiobelajar.com
Suatu fungsi trigonometri juga dapat diintegralkan. Jika hasil integral diatas disubstitusi dengan permisalan u di peroleh: 2.3 teknik mengerjakan soal integral. More images for integral parsial trigonometri » Atau sehingga atau 2y dx = dy.
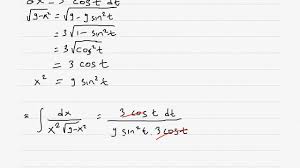
Soal Dan Pembahasan Teknik Substitusi Trigonometri Pada Integral Mathcyber1997 from mathcyber1997.com Pada integral tertentu yang memiliki nilai pada interval tertentu, maka interval tersebut harus disubstitusi ke dalam interval baru untuk variabel u. Jika hasil integral diatas disubstitusi dengan permisalan y, diperoleh: Integral dengan integran dalam bentuk akar diatas dapat dikerjakan dengan memisalkan dari bentuk diatas sebagai berikut: Ternyata, fungsi trigonometri juga bisa diintegralkan, lho. Jul 06, 2021 · 3. Cara ini didasari oleh aturan hasil kali turunan dari dua buah fungsi. Fungsi trigonometrisebagai integran, untuk beberapa kasus, tidak bisa langsung diintegralkan seperti rumus integral awal. 8.1 bentuk tak tentu 0/0.
Jul 06, 2021 · 3.
Apr 24, 2017 · integral trigonometri hai kali ini kita akan membahas mengenai integral trigonometri. 2.3 teknik mengerjakan soal integral. See full list on studiobelajar.com Fungsi trigonometrisebagai integran, untuk beberapa kasus, tidak bisa langsung diintegralkan seperti rumus integral awal. Substitusi trigonometri | pendidikan matematika &mldr. Hal itu karena integral merupakan bentuk antiturunan. Contoh soal integral parsial contoh soal integral parsial kuliah | kumpulan soal pelajaran 2 contoh soal integral trigonometri parsial | kumpulan soal pelajaran 6 contoh soal integral tentu, tak tentu, substitusi, parsial contoh soal integral trigonometri parsial | kumpulan soal pelajaran 6 teknik integral: Ternyata, fungsi trigonometri juga bisa diintegralkan, lho. Jika maka, integral ini dapat diselesaikan dengan memisalkan u = g(x) dan sehingga diperoleh persamaan: Integral merupakan bentuk pada operasi matematika yang menjadi kebalikan atau disebut invers dari operasi turunan dan limit dari jumlah ataupun suatu luas daerah. Jika hasil integral diatas disubstitusi dengan per. Pada teknik ini, dapat dimisalkan dan selanjutnya menyelesaikan integral dalam fungsi f(y) menggunakan teknik substitusi seperti di awal. Berdasarkan permisalan ini, maka persamaan integralnya menjadi:
Berbagi
Posting Komentar
untuk "Integral Parsial Trigonometri - Pdf Pertemuan 12 Pokok Pembahasan Teknik Pengintegralan Muhammad Idris Academia Edu - Hal tersebut karena, integral merupakan bentuk dari antiturunan."
Posting Komentar untuk "Integral Parsial Trigonometri - Pdf Pertemuan 12 Pokok Pembahasan Teknik Pengintegralan Muhammad Idris Academia Edu - Hal tersebut karena, integral merupakan bentuk dari antiturunan."